Official websites use .gov
A .gov website belongs to an official government organization in the United States.

Secure .gov websites use HTTPS
A lock ( ) or https:// means you’ve safely connected to the .gov website. Share sensitive information only on official, secure websites.

Social Determinants of Child Development and Mental Health

Stephen Gilman
  • Stephen E. Gilman, ScD, Senior Investigator and Chief, Social and Behavioral Sciences Branch, DiPHR
  • Denise L. Haynie, PhD, Associate Scientist
  • Jing Yu, PhD, Staff Scientist
  • Zoe Chang, BA, Postbaccalaureate Intramural Research Training Award Fellow

Our work seeks a better understanding of the environments that have both positive and negative influences on development from the prenatal period onward. It also seeks to generate new insights into mechanisms that underlie the early life origins of health disparities, identify developmentally sensitive periods for the emergence of disparities, and uncover opportunities for reducing disparities at the population level.

Our research focuses on both healthy and abnormal child development, on environmental factors at many levels of analysis (individual, family, and neighborhood), on associated biomarkers of exposure and impact, and on long-term outcomes, with an emphasis on mental health and mental disorders. Inspired by the “Developmental Origins of Health and Disease” and “Life Course Epidemiology” movements, our work adopts several approaches in diverse populations to advance knowledge of the social determinants of health and, in particular, of the developmental mechanisms involved. Ongoing studies are described below.

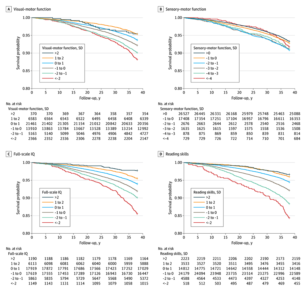
Figure 1. Dying too soon: survival probabilities according to children’s visual-motor functions, sensory-motor function, full-scale intelligence quotient (IQ), and reading skills at age 7

Kaplan-Meier curves show that children with higher neurocognitive scores have a higher survival probability throughout middle adulthood. From Reference 4.

Figure 1. Dying too soon: survival probabilities according to children’s visual-motor functions, sensory-motor function, full-scale intelligence quotient (IQ), and reading skills at age 7
Click image to enlarge.
Figure 1. Dying too soon: survival probabilities according to children’s visual-motor functions, sensory-motor function, full-scale intelligence quotient (IQ), and reading skills at age 7
Click image to enlarge.

Figure 1. Dying too soon: survival probabilities according to children’s visual-motor functions, sensory-motor function, full-scale intelligence quotient (IQ), and reading skills at age 7

Kaplan-Meier curves show that children with higher neurocognitive scores have a higher survival probability throughout middle adulthood. From Reference 4.

The prenatal period and early childhood

Maternal immune activity during pregnancy has been repeatedly linked to neuropsychiatric disorders in offspring. To the extent that maternal inflammation during pregnancy causes deviations from typical neurodevelopmental trajectories in offspring, which result in elevated risk of neuropsychiatric disorders such as schizophrenia, autism, and major depressive disorder, it is unlikely that neurocognitive functioning in childhood would remain otherwise intact. However, much less is known about the role of immune markers at specific points during gestation in children’s neurocognitive development. This is important because impairments in neurocognitive function in the domains of intellectual ability, language, and higher-order cognitive processes might serve as early markers of vulnerability to a lifetime risk and recurrence of neuropsychiatric disorders. The ENRICHED study seeks to expand our knowledge about the prenatal and childhood mechanisms of health disparities.

Adolescence and adulthood

Trajectories established as early as infancy influence mental and physical health in later stages of the life course, extending into adolescence and young and middle adulthood. One of our team’s focus areas concerns the developmental vulnerability to suicide, a leading cause of death among young people and a major contributor to the disease burden associated with mental illness. Accordingly, we have undertaken a large-scale cohort study of the developmental origins of premature all-cause mortality and suicide mortality based on the historic United States Collaborative Perinatal Project. Related work, in collaboration with our colleagues on the Next Generation Health Study, concerns the social determinants of mental health problems and substance use during adolescence. We also continue our work toward understanding the long-term and potentially intergenerational influences of the early environment on health.

Publications

  1. Govender T, Vidal-Ribas P, Yu J, Haynie DL, Augustin D, Gilman SE. Adverse childhood experiences and risk of suicide and substance-related mortality through middle adulthood. J Affect Disord 2025 369:1201-1208
  2. Freedman AA, Miller GE, Franklin AD, Keenan-Devlin LS, Gilman SE, Borders A, Khan SS, Ernst LM. Placental pathology and blood pressure at age 7: a longitudinal discordant twin analysis. Arterioscler Thromb Vasc Biol 2025 45:312-322
  3. Freedman AA, Perak AM, Ernst LM, Borders A, Miller GE, Allen NB, Gilman SE, Khan SS. High blood pressure in childhood and premature cardiovascular disease mortality. JAMA 2025 334:1555-1557
  4. Yu J, Haynie DL, Sundaram R, Gilman SE. Adverse childhood experiences, neurocognitive functions, and long-term mortality risk. JAMA Netw Open 2025 8:e2531283

Collaborators

  • Christine Brousseau, MD, Women & Infants Hospital of Rhode Island, Providence, RI
  • Gary Gensler, MS, The Emmes Corporation, Rockville, MD
  • Michelle Hartley-McAndrew, MD, University at Buffalo, State University of New York, Buffalo, NY
  • Lina Mu, PhD, University at Buffalo, State University of New York, Buffalo, NY
  • Seth Sherman, PhD, The Emmes Corporation, Rockville, MD
  • Michael Silverstein, MD, Brown University, Providence, RI
  • Rebecca Stevens, MD, University at Buffalo, State University of New York, Buffalo, NY
  • Jean Wactawski-Wende, PhD, University at Buffalo, State University of New York, Buffalo, NY